Paul, âgé de 71 ans, est un chef d’entreprise toujours actif. Il n’a jamais porté d’appareils auditifs et se montre réticent à l’idée d’en porter. Il ne présente aucun antécédent particulier ni acouphènes. Sa principale difficulté réside dans la compréhension des conversations, tant dans des environnements calmes qu’en présence de bruit. Lors de réunions, il doit régulièrement demander à ses interlocuteurs de répéter ou se concentrer sur leur visage pour mieux comprendre. À la maison, il augmente systématiquement le volume de la télévision pour espérer saisir l’essentiel des dialogues.
1. Résultats d’Audiométrie tonal vocal au casque + seuil inconfort
Paul présente une presbyacousie bilatérale symétrique moyenne avec une perte auditive de type descendante. Après un certain temps d’hésitation, il décide de s'équiper pour obtenir les meilleurs résultats possibles. Il choisit des Audéo I90-Sphere. C'est la première aide auditive de Phonak dotée de 2 puces dont DEEPSONIC, dédiée au traitement du signal. D'un point de vue esthétique, elle est plus longue et plus épaisse que son homologue sans l’option Sphere, l’Audéo I90-R. Une fois portée, elle se fait rapidement oublier derrière l'oreille du patient.
Les écouteurs choisis sont ceux de puissance M et des dômes obturants M, offrant une obstruction suffisante pour l’amplification nécessaire pour un primo-appareillage (figure 1).
2. Gain prothétique en champ libre
Après plusieurs semaines d’ajustements et de réglages, le premier test a été effectué en champ libre dans la cabine insonorisée pour évaluer le gain prothétique (figure 2).
3. Audiométrie vocale en champ libre dans le bruit
Après la phase d’adaptation (quatre semaines), nous avons réalisé un test en champ libre avec et sans la fonction Sphere active. Pour cela, nous avons utilisé des listes de mots Collège Na1 dissyllabiques sur le haut-parleur avant et un bruit de fond de type « cocktail party » sur les deux haut-parleurs arrière.
Nous avons créé un programme Sphere indépendant afin d’activer à notre guise l’algorithme.
Le signal a été envoyé à 60 dB et le bruit de fond « cocktail party » a été ajusté à différents rapports signal sur bruit (RSB) +0, -3, -6 dB.
L’intensité choisie pour la parole est de 60 dB car il s’agit de l’intensité pour lequel le patient a un confort optimal en compréhension dans le silence (figure 2).
Les résultats obtenus sont présentés figure 3.
4. Paramétrage de Target
Pour obtenir ces résultats, il a été nécessaire d'ajuster les réglages par rapport aux paramètres par défaut proposés par le fabricant. Après avoir appareillé et testé une dizaine de patients en Sphere, voici les stratégies de réglage que j’ai adoptées pour optimiser les performances :
- Création d’un programme spécifique Sphere
Une analyse du datalogging a révélé que le programme Sphere ne s’active que quelques minutes par jour, ce qui est dommage au vu de sa performance. Il est donc recommandé de baisser le seuil d'activation pour qu’il se déclenche plus facilement dans des environnements sonores modérés, rendant ainsi l’IA plus réactive et utile au quotidien du patient et de créer un programme indépendant.


Directivité du programme Sphere
Comme son nom l’indique, le programme Sphere vise à capter et améliorer la compréhension à 360° ou de manière sphérique autour du patient. Nous avons donc effectué des tests dans le bruit avec la parole provenant de l’arrière et le bruit de cocktail provenant de l’avant.
Malheureusement, en utilisant les réglages préconisés par le fabricant (directivité fixe à 12 sur Sphere, voir figure 4), il n’a pas été possible de constater un gain substantiel de l’intelligibilité. Cependant, en réglant le programme Sphere sur la position OMNI, nous avons observé une amélioration immédiate des résultats : de 20 % d’intelligibilité, nous sommes passés à 80 %.

L'algorithme Sphere semble donc plus efficace en mode omnidirectionnel ou Real Ear Sound, car la puce peut mieux filtrer les bruits parasites tout en captant la parole de manière plus claire quelle que soit sa provenance.
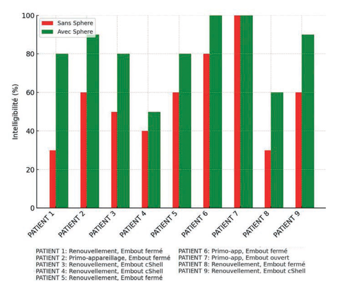
Systématiquement, nous effectuons des tests dans le bruit en fin d’appareillage afin de quantifier les résultats. Voici un récapitulatif succinct, sans détails sur la perte auditive, des performances des patients équipés du programme Sphere. La figure 5 et le tableau 1 présentent leur intelligibilité à divers RSB avec et sans le programme Sphere actif.

Résultats obtenus pour 9 patients
Le cas de Paul s'inscrit dans le cadre d'une étude visant à évaluer l'impact de l'activation de la fonction Sphere sur la compréhension dans le bruit chez les utilisateurs de l’Audéo I90-Sphere, en comparant leurs performances avec celles obtenues lorsque cette fonction est désactivée.
En plus de Paul, 9 patients ont été équipés (3 primo-appareillés et 6 renouvellements). Chacun de ces 9 patients a suivi le même protocole que Paul, déjà décrit précédemment. Au sein de la cohorte de patients sur laquelle nous avons effectué les tests, les éléments suivants ont été observés.
Les résultats varient en fonction de plusieurs paramètres, tels que la perte auditive du patient, son expérience en matière d’appareillage, ainsi que le type d’embout utilisé (ouvert ou fermé). Il est évident que plus l’évent utilisé est ouvert, plus le bruit non traité passe naturellement jusqu’au tympan et se mélange au signal traité : cette sommation a pour effet de détériorer le rapport signal sur bruit perçu par le patient.
Le programme Sphere améliore considérablement l’intelligibilité, avec une augmentation supérieure à 30 %, en particulier lorsque le rapport signal sur bruit est faible. De plus, l'importance du réglage précis a été clairement démontrée dans nos résultats. Pour exploiter pleinement le programme Sphere, un paramétrage optimal est indispensable.

Ces résultats paraissent très prometteurs mais, au vu du faible nombre de patients relevés et des paramètres variables entre les sujets, on ne peut pas conclure avec des résultats statistiquement représentatifs. Cependant, nous pouvons tout de même constater par cette étude de cas que l'appareil double puce Phonak Audéo I90-Sphere offre des performances inédites dans des environnements acoustiques complexes. L’activation du programme a suscité un réel enthousiasme chez de nombreux patients. Toutefois, pour obtenir les résultats optimaux, j’ai préféré personnaliser le paramétrage initial sur Target comme indiqué ci-dessus. Ces ajustements permettent de maximiser les performances et de profiter pleinement des capacités de cette nouvelle puce.
Bien que l'appareil soit plus imposant par rapport à son petit frère, Audéo I90-R, le Sphere reste discret et confortable une fois placé derrière l’oreille pour la majorité des patients.
Enfin, rappelons qu’il convient de ne pas abuser de la fonction Sphere, car le programme IA est particulièrement « énergivore », le fabricant a d’ailleurs pris soin de pouvoir activer une limite de 3h/j si on le souhaite.

